SP\/QJ型深井用潜水电泵高扬程不锈钢深井潜水泵
SP\/QJ型深井用潜水电泵高扬程不锈钢深井潜水泵
产品价格:¥1599.00(人民币)
  • 规格:绿色
  • 发货地:上海上海
  • 品牌:
  • 最小起订量:1
  • 免费会员
    会员级别:试用会员
    认证类型:企业认证
    企业证件:通过认证

    商铺名称:上海永鹏机械有限公司

    联系人:李先生(先生)

    联系手机:

    固定电话:

    企业邮箱:3004892876@qq.com

    联系地址:上海市普陀区交通路1957号

    邮编:200000

    联系我时,请说是在泵阀网上看到的,谢谢!

    商品详情
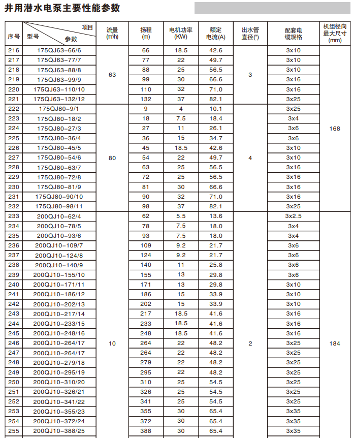
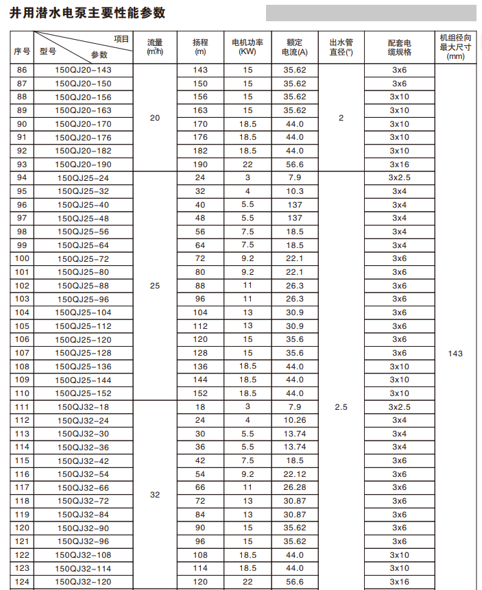
      产品参数
      SP/QJ型深井用潜水电泵高扬程不锈钢深井潜水泵 是否支持加工定制
      是否进口
      泵轴位置立式
      材质铸铁不锈钢
      电压380V
      电源线长500cm
      工作温度100℃
      工作压力2MPa
      规格100mm
      级数多级
      类型深井潜水式
      驱动方式电机
      适用范围农田灌溉
      输送介质井水污水
      型号QJ/SP
      颜色蓝色绿色
      扬程500m
      叶轮多级叶轮
      重量50kg
      转速2900RPM
      品牌上海永鹏

















    0571-87774297